Welcome to the new IOA website! Please reset your password to access your account.

Proceedings of the Institute of Acoustics

 

Sound transmission through rigid porous materials with and without perforations

 

H Aygun (Ph.D.), Civil and Building Services Engineering, School of the Built Environment and Architecture, London South Bank University, London SE1 0AA

 

1 INTRODUCTION

 

The 21st century development of cities is an important characteristic of designing and constructing buildings and infrastructures for them. Development of cities causes extreme air and noise pollution while covering most of spaces by solid structures which causes flooding. The detrimental effects of environmental noise on human health and well-being coupled with the escalating risks of flooding in urban areas due to global climate change, require integrated and sustainable low carbon approaches to infrastructure and building development. Innovative solutions that can meet the immediate needs of urban populations as well as the long-term sustainability of urban environments are desperately needed in the face of these complex challenges. Sound absorption of concrete depends on the mixture, size and distribution of the pores, and modification of the concrete mixture [1].

 

The basalt fibre has various advantages due to its mechano-physico-chemical properties, biodegradability, and non-abrasive qualities [2] while it could be used to enhance concrete’s harness and crack resistance, and its tensile and flexural strengths [3-6]. In the comparison with common asphalt concrete, it showed that the asphalt concrete mixed with basalt fibre was found to have better performance in terms of flood prevention and water stability [7]. The basalt fibres could be used to create thermal and sound insulation panels for applications in the building industry. The results of the tested panels show the absorption coefficients with a range of 50Hz to 6kHz for 30mm and 100mm diameter samples [8]. A recent work stated that basalt fibre is a promising sustainable low carbon material which could be used to reinforce the deficient recycled concrete’s weak structural properties and durability [9].

 

This article investigates a novel avenue in addressing environmental noise pollution through the utilization of basalt fibre infused concrete (BFIC). By integrating basalt fibres into concrete, this research endeavours to create a multifunctional material capable of simultaneously mitigating noise and enhancing flood resilience in urban environments. However, this paper only reports the investigated acoustical properties of basalt fibre infused concrete.

 

2 MEASUREMENT

 

The experimental procedure is based on the acoustic reflection coefficient at normal incidence being determined from the measured transfer function between two microphone positions in front of the tested material. Experiments were carried out to measure acoustic absorption of samples in a circular impedance tube with an internal diameter of 100mm. An experimental procedure outlined in [10-11] was followed for the measurements. The basalt fibre infused concrete (BFIC) samples that were reinforced with a portable rigid supporter were located at one end of the impedance tube while a speaker was positioned at opposite end of the tube.

 

Sound transmission loss measurements were conducted in an impedance tube that has an internal diameter of 100 mm. An experimental procedure given in [10-13] was followed to measure the transmission loss. A test material that located at the centre of the tube was subjected an incident wave generated by a loudspeaker which was placed at one end and a rigid plate at the other. The sound signals at four fixed microphone places within the tube were simultaneously measured. The VA-LAB software applying Transfer Function method was utilised to separate the incident and reflected pressures, and then estimates the transmission loss of the tested materials.

 

3 RESULTS

 

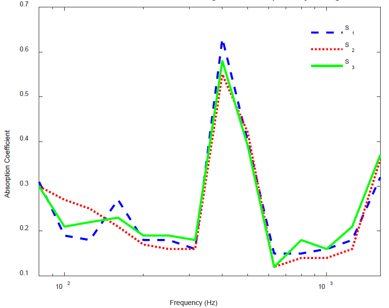
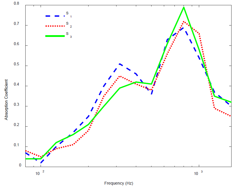
Measurements were performed on each sample to determine the absorption coefficient in terms of frequency. Each measurement was repeated four times on every sample and the absorption coefficients were arithmetically averaged. One sound absorption peak with an absorption coefficient around 0.6 at 400Hz appears when quarter-inch basalt fibres were added into concrete as shown in Figure 1. Basalt-fibre infused concrete samples behave like a resonator and provide maximum attenuation around its natural resonance frequency. A perforation ratio of 6.66% was achieved by making 74 holes with 3mm diameter and 100mm depth through the cylindrical samples. Three perforated samples were tested in the impedance tube to determine their absorption coefficients in frequency domain. The absorption performances for three samples are similar throughout the frequency range with absorption peaks observed at 315Hz and at 800Hz and they are compared in Figure 2. This clearly shows that perforation of samples has improved high frequency absorption performance of samples.

 

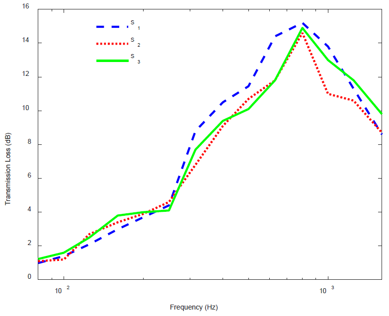
Impedance tube measurements were conducted on the basalt fibre infused concrete samples to investigate their transmission loss that were repeated four times for every sample and averaged arithmetically. Samples have similar transmission curves throughout frequency range as shown in Figure 3. Samples could improve sound insulation between 12.5dB at 80Hz and 25dB at 800Hz for buildings from excessive noise across all frequencies. Higher level of sound insulation properties of these materials is very important to reduce noise in built environment since habitational noise, office noise, and environmental noise lean to occur at frequencies between 100Hz and 1500Hz. Three cylindrical perforated basalt fibre infused concrete samples with a perforation ratio of 6.66% were tested in impedance tube which applies transfer function method to determine their transmission losses in frequency domain. As it can be seen from Figure 4, sound transmission loss performances for three samples are similar with low standard deviation throughout 1/3 octave band frequency with values ranging from 1 dB at 80 Hz to 15 dB at 800 Hz. Sound transmission peak is observed around 800 Hz which corresponds to maximum absorption peak. Introducing perforation into concrete samples to improve water storage and to prevent environmental flooding reduces sound transmission performance between 8 dB and 12 dB through the frequency range.

 

 

Figure 1: Absorption coefficients of three basalt fibre infused concrete samples.

 

 

Figure 2: Absorption coefficients of perforated three concrete samples.

 

 

Figure 3: The transmission loss of three basalt fibre infused concrete samples.

 

 

Figure 4: The transmission loss of perforated basalt fibre infused concrete samples

 

4 CONCLUSION

 

When designing construction structures, it is important to consider the acoustical properties of building materials to make sure maximum acoustic comfort is provided for residents in dwellings. Six concrete samples (three non-perforated and three perforated samples) that were reinforced with using basalt fibres were designed and developed to investigate their sound absorption and transmission performance applying a transfer function method in an impedance tube. Averaged absorption curves of samples clearly show that these samples provide maximum attenuation around its resonance frequencies while samples with a perforation ratio of 6.66% increase absorption performance between 200Hz and 1250Hz with maximum attenuation around 0.8 at 800Hz. Average sound transmission loss of samples differs between 12.5dB and 15dB. Measurements were carried out on three alike perforated samples and the results were similar throughout frequency range as they were compared. Transmission loss of samples with and without perforation show that the perforation clearly reduces the transmission loss of the material with a sound transmission peak around 800Hz, which corresponds to highest absorption of the 4F-¼′ sample.

 

5 REFERENCES

 

  1. Fediuk, R., Amran, M., Vatin, N., Vasilev, Y., Lesovik, V., and Ozbakkaloglu, T. 2021. “Acoustics properties of innovative concretes: Review”. Materials. Volume 14, issue 2.10.3390/ma14020398 
  2. Dhand, V., Mitaal, G., Rhee, Y. Y., Park, S.J., and Hui, D., 2015. A short review on basalt fibre reinforced polymer composites. Composites Part B: Engineering . Volume 73, May 2015, pages 166-180.
  3. Yang, L., Xie, H., Fang, S., Huang, C., Yang, A., and Chao, Y. J., 2021. Experimental study on mechanical properties and damage mechanism of basalt fibre reinforced concrete under uniaxial compression. Structures . Volume 31, pages 330-340. https://doi.org/10.1016/j.istruc.2021.01.071
  4. Zhou, H., Jia, B., Huang, H., and Mou, Y., 2020. Experimental Study on Basic Mechanical Properties of Basalt Fiber Reinforced Concrete. Materials . 13(6), 1362–. doi:10.3390/ma13061362 mechanical properties of basalt fibre ‐ reinforced concrete. Structural Concrete. 18 (2), pp.292-302.
  5. Jalasutram, S., Sahoo, D.R. and Matsagar, V., 2017. Experimental investigation of the mechanical properties of basalt fibre‐reinforced concrete. Structural Concrete. 18(2), pp.292-302.
  6. Ma, J., Qiu, X., Cheng, L. and Wang, Y., 2010. Experimental research on the fundamental mechanical properties of pre-soaked basalt fibre concrete. In Advances in FRP Composites in Civil Engineering: Proceedings of the 5th International Conference on FRP Composites in Civil Engineering (CICE 2010), Sep 27–29, 2010, Beijing, China (pp. 85-88). Springer Berlin Heidelberg.
  7. Gao, L., Adesina, A., and Das, S., 2021. Properties of eco-friendly basalt fibre reinforced concrete designed by Taguchi method. Construction and Building materials . Volume 302. 124161. https://doi.org/10.1016/j.conbuildmat.2021.124161
  8. Buratti, C., Marli, F., and Moretti, Elisa, 2018. Aerogel-based materials for building applications: influence of granule size on thermal and acoustic performance. Energy and Buildings . Volume 152, pages 472-482.
  9. Yang, W., Liu, L., Wu, W., Zhang, K., Xiong, X., Li, C., Huang, Y., Zhang, X., and Zhou, H., 2024. “A review of the mechanical properties and durability of basalt fibre recycled concrete”. Construction and Building Materials . Volume 412. 134882. https://doi.org/10.1016/j.conbuildmat.2024.134882
  10. International Standards Organisation. 2001. BS EN ISO 10543-2:2001. Acoustics – determination of sound absorption coefficient and impedance in impedance tubes. Part 2: Transfer-function method. London: British Standards Institute.
  11. International Standards Organisation. 2003. BS EN ISO 354:2003 Acoustics — Measurement of sound absorption in a reverberation room . London: British Standards Institute.
  12. Bolton., J. S., Yun, R. J., Pope, J., and Apfel, D., 1997. Development of a new sound transmission test for automotive sealant materials. Proc. ASE . Paper 971896.
  13. Chung, J. Y., and Blaser, D. A., 1980. Transfer function methods of measuring in-duct acoustic properties. II Experiment. The Journal of the Acoustical Society of America. 68, 914.