Welcome to the new IOA website! Please reset your password to access your account.

Proceedings of the Institute of Acoustics

 

A joint estimation method of underwater source range and depth in deep ocean bottom bounce area

 

Chenyi Xu, College of Underwater Acoustic Engineering, Harbin Engineering University, Harbin, China
Shengchun Piao, College of Underwater Acoustic Engineering, Harbin Engineering University, Harbin, China
Junyuan Guo, College of Underwater Acoustic Engineering, Harbin Engineering University, Harbin, China

 

 

1 INTRODUCTION

 

In recent years, the research on ocean has gradually moved from shallow sea to deep sea. Deep sea source positioning is an important issue in passive underwater acoustic detection. Since the sound field in the shallow sea is different from the deep sea, the positioning method is different in the two environments. Matching-field processing (MFP) technology is the most commonly used method in deep-sea passive positioning. It can be traced back to the 1980s, Fizell and Wales used a vertical array combined with MFP to achieve successful localization of long-distance sound sources in the Arctic Ocean1. Transfer and Hodgkiss conducted deep-sea matching field positioning experiments in the northeastern Pacific Ocean. In the range direction, the estimation results were good; in the depth direction, the estimation results were poor2. Lei used a dual-sensor vertical array to locate the target by matching the cross-correlation function of the signals received by two hydrophones3. Although the effectiveness of MFP has been proven by a large number of experiments, it is difficult to make progress because it is highly sensitive to the environment. Environment-focused MFP and Bayesian MFP methods have been proposed to solve the environment mismatch problem, but they have high real-time requirements4-5.

 

This paper uses Bellhop to simulate the arrival signal of the vertical array located in the deep ocean bottom bounce area to obtain the multipath structure. For the sound source near the sea surface, a sound source positioning method matching the vertical arrival angle of the specified sound ray and the corresponding multipath delay difference is proposed. The effectiveness of this method is analyzed by simulation, and the results show that it can provide the basis for the deep ocean bottom reflection signal localization.

 

2 ANALYSIS OF THE MULTIPATH ARRIVAL STRUCTURE OF THE OCEAN BOTTOM BOUNCE AREA

 

When the sound source and the hydrophone are both near the sea surface, the deep-sea sound field can be spatially divided into direct area, shadow area, and convergence area according to the range. Figure 1(a) shows the sound speed profile (SSP) used in the simulation, where the sea depth is 4400m and the channel axis depth is 1046m. It is assumed that the seabed type is acoustic half space, the seabed sound speed is 1550m/s, the seabed density is 1.6g/cm3, and the absorption coefficient is 0.2dB/λ. The ray model is selected and Bellhop is used for simulation. The depth of the sound source is 200m, the frequency of the sound source is 550Hz, and the acoustic propagation path is shown in Figure 1(b), and the acoustic propagation loss is shown in Figure 1(c).

 

Figure 1(c) shows that the propagation path forms a convergence area with a width of several nautical miles and a depth of several hundred meters near 60km and 120km. There are shadow areas between 6~55km and 65~115km, which are inaccessible to direct waves. The sea-bottom bounce area of interest in this paper mainly consists of the primary seabed reflected sound rays, and is an important part of the first shadow area. The hydrophone is placed in the sea-bottom bounce area, with a range of 18 km and a depth of 2000m. Figure 2(a) shows the eigen rays received by the hydrophone, and it can be seen that the sea-bottom bounce area mainly consists of four sound rays, which are bottom-reflected (BR) path, surface-bottom-reflected (SBR) path, bottom-surface-reflected (BSR) path, and surface-bottom-surface-reflected (SBSR) path. Keeping the reception depth of the hydrophone unchanged and changing the reception range, the structure of the arrival sound path is shown in Figure 2(b), and it can be seen that the difference between BR and SBR becomes larger with the increase of the reception range, while the difference between BSR and SBSR does not change significantly; therefore, in this paper, we consider the sound paths BSR and SBSR for the estimation of the sound source.

 

 

Figure 1: (a) Sound speed profile      (b) Sound propagation path diagram      (c) Sound propagation loss diagram.

 

 

Figure 2: (a) Eigen rays diagram      (b) Structure of sound path arrivals (15-35km)

 

The use of virtual source theory to analyze the sound field in the sea-bottom bounce area, the reflected sound rays through the sea surface and the seabed are regarded as sound rays emitted by their respective virtual sources, and the number of virtual sources increases with the number of reflections of the sound rays6. The establishment of the coordinate system rOz shown in Figure 3, assuming that the depth of the deep sea H, the speed of sound in the sea to take the average value c, the depth of the sound source, and the hydrophone from the surface of the sea for z s and z r , the horizontal range between the transceiver for R.

 

Let the slant distance between the source and the mirrored source to the receiver and the mirrored receiver be R1 , R2 , R3 , R4 , and the slant distance of each of the four sound rays can be introduced from the figure as

 

 

The received signal is the superposition of four sound rays. When the angular frequency of the transmitted signal from the sound source is ω, with the background interference and time factor not considered, and the sea surface is a free boundary, the signal at the reception point is written as

 

 

Since the source is placed near the sea surface, the depth of the source is negligible compared to the sea depth, so R1 and R2 , R3 and R4 can be approximately equal, and the signal is simplified as

 

 

 

Figure 3: Schematic diagram of the sea-bottom bounce area based on the virtual source theory

 
3 METHOD

 

The depth and range of the sound source are estimated jointly. First, assume the estimated depth range of the sound source. The arrival angle of the sound ray is obtained by beamforming, and the range estimation is obtained by matching the result of the ray model. The arrival angle is used to compensate for the signal beam, and then the time delay difference is extracted after matched filter processing of the filtered signal. By combining the time delay difference and the range estimation results, the depth estimation results at the assumed depth are obtained. Combining the results of arrival angle and average depth estimation, the accurate estimation of the range is achieved by matching. The specific positioning process is shown in Figure 4.

 

 

Figure 4: Location flow chart

 

3.1 Sound source range estimation

 

For an N-element uniform short vertical array with a spacing of ∆z and a depth of z at the center of the array, the aperture of the array N ⋅ ∆z is smaller than the sound path in comparison, and the arrival angles received by the different array elements are approximately the same. Therefore, the signal received by the vertical array placed in the sea-bottom bounce area can be expressed as

 

 

For a broadband acoustic source signal, define the guide vector as7

 

 

The L beams pointing simultaneously to θ1 , θ2 , ..., θand form a matrix of guiding vectors as

 

 

At this point, the output power of the beam is written as

 

 

In this case, p is the sound field vector consisting of the received signals of N array elements at frequency f, and H denotes the conjugate transpose. When the angle is restricted to the positive range, the beam output is extremely large when the beam angleθj is pointing to the average of the arrival angles of the paths BSR and SBSR. At the same reception point, the arrival angle of the sound ray is signal frequency independent.

 

 

The arrival angles of the paths BSR and SBSR are a function of the assumed sound source location, which is follows as

 

 

where g(⋅)  is determined by the sound field environment, θh is calculated by using the ray model.

 

Based on the matching principle, the location of the sound source is located at the minimum grid of the difference between the estimated and standard values, which is written as

 

 

According to the virtual source theory, the arrival angles of the paths BSR and SBSR, and the average of the arrival angles can be obtained as

 

 

Derivation of θ concerning the source depth zs , which is written as

 

 

Since r is a small quantity to 2 + (zr - zs +2H)2  and 2 + (zr + zs +2H)2 , this means that the arrival angles of the paths BSR and SBSR are not significantly affected by changes in the depth of the sound source, and change significantly with the receiving range.

 

Therefore, assuming that the depth of the sound source is within a reasonable range, the arrival angle is extracted according to the DOA estimation results of the vertical receiving array, and then matched with the arrival angle calculated by the ray model to obtain the preliminary estimation result of the horizontal range of the underwater sound source.

 

3.2 Sound source depth estimation

 

The eikonal equation in the ray acoustic model is followed as6

 

 

where r is the horizontal range, α0 is the outgoing grazing angle, n(z) is the refractive index, and C is the constant of integration. The propagation time of the sound ray is the time needed for the sound ray to pass through the eikonal, then the propagation time of the sound ray is expressed as

 

 

Combining the virtual source theory and the definition of the propagation time of the sound ray, the time delay difference between the path BSR and SBSR is written as

 

 

Matched filtering (MF) technique can be used to distinguish the arrival structure of signal propagating between different paths, at the same time, the matched filtering technique can significantly improve the received signal-to-noise ratio (SNR), the impulse response of matched filtering is written as

 

 

Fourier transform of equation (16) to obtain transfer function f ) , which is expressed as

 

 

When considering the path BSR and SBSR, the beam output functions as a spatial filter, preserving the sound energy of BSR and SBSR while suppressing energy from other directions. Then the multipath of the filtered signal is separated after matched filter processing, which is written as

 

 

The time difference between the two spikes of xmf (t) is extracted as the time delay difference τ0 .

 

Similar to the arrival angle, the time delay difference between the paths BSR and SBSR is a function of the assumed sound source location. Based on the matching principle, the location of the sound source is located at the minimum grid of the difference between the estimated and standard values, which is written as

 

 

where τh is calculated by using the ray model.

 

Derivation of Δt concerning the receiving range R , which is written as

 

 

Therefore, it can be concluded that Δt varies less with horizontal range R . When the source depth zs is constant and the horizontal range is large, əΔt/əR tends to be 0, so, the time delay difference between the path BSR and SBSR of the sound ray is approximately constant.

 

Therefore, the source depth can be estimated by combining the estimation results of the horizontal range of the sound source and the time delay difference of paths BSR and SBSR extracted by beam compensation and matching filter, and then matching the time delay difference calculated by the ray model.

 

4 SIMULATION ESTIMATION

 

The reliability of the algorithm is simulated and tested by the environmental parameters mentioned in Section 2. The simulation parameters of the sound source and array are shown in Table 1:

 

 

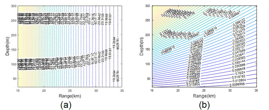
The standard values of path BSR, SBSR arrival angle, and time delay difference at different reception ranges for different sound source depths are calculated using Bellhop as shown in Figure 5 (a) and Figure 5 (b). Where the sound source is shallow, assumed to be located between 20 and 300m, and the receiving depth is 2040m from the vertical array central.

 

It can be seen that the arrival angle changes obviously with the receiving range, but it is opposite with the depth of the sound source. At the same time, the time delay difference changes little with the receiving range, but obviously with the source depth.

 

 

Figure 5: (a) Contours of arrival angle variation                   (b) Contours of time delay difference variation

 

4.1 Fixed source depth, varied transceiver range

 

The depth of the sound source is fixed at 50m, and the range between the sound source and the hydrophone is increased from 15km to 35km at 1km intervals. The location results of the joint estimation method for the sound source are shown in Figure 6, and the estimated relative error is shown in Figure 7.

 

It can be seen that when the depth of the sound source is fixed and the transceiver range is changed, the depth estimation relative error is 6.3% when the range is 15km. For other ranges, the relative error of depth estimation results is less than 3%, and the range estimation results are less than 1%, which has good positioning accuracy.

 

 

Figure 6: (a) Estimated depth results        (b) Estimated range results        (c) Estimated location results

 

 

Figure 7: (a) Relative error of depth                 (b) Relative error of range

 

4.2 Fixed transceiver range, varied source depth

 

The range between the sound source and the hydrophone is fixed at 23km, and the depth of the sound source is increased from 20m to 300m at 5m intervals. The location results of the joint estimation method for the sound source are shown in Figure 8, and the estimated relative error is shown in Figure 9.

 

It can be seen that when the transceiver range is fixed and source depth is changed, the relative error of depth estimation results is less than 2%, and the range estimation results are less than 1%, which has good positioning accuracy.

 

 

Figure 8: (a) Estimated depth results      (b) Estimated range results            (c) Estimated location results

 

 

Figure 9: (a) Relative error of depth                       (b) Relative error of range

 

4.3 Varied SNR

 

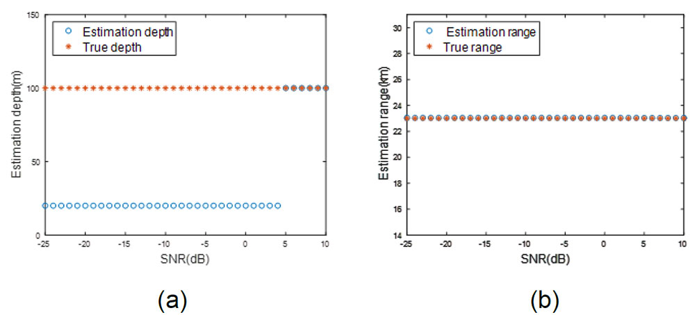
Assuming a source depth of 100m and a reception range of 23km, the SNR increases from -25dB to 10dB at 1dB intervals. The location results of the joint estimation method for the sound source are shown in Figure 10

 

It can be seen that when the SNR is changed, the range estimation result has less error and higher accuracy; however, for depth estimation, the SNR is greater than 5 dB before the estimation of depth can be achieved.

 

 

Figure 10: (a) Estimated depth results                       (b) Estimated depth results 5

 

SUMMARY

 

In this paper, we study the deep-sea near-surface sound source localization problem using a vertical array, including underwater sound source range and depth estimation. Firstly, an underwater sound source localization method based on the multipath arrival structure is proposed, which mainly uses the arrival angle of the sound rays to search for the sound source, and can accurately locate the range of the sound source, and the estimation relative error of the sound source range is less than 1% according to the above simulation. Then the depth of the target is estimated according to the time delay difference and distance estimation results, and the depth error of the sound source is less than 3% obtained by simulation. The simulation results show that all these joint estimation methods can accurately locate the target and have the advantages of fast calculation speed and high calculation efficiency.

 

6 REFERENCES

 

  1. Fizell, R. G., Wales, S. C. Source localization in range and depth in an Arctic environment [J]. The Journal of the Acoustical Society of America, 1985, 78(S1): S57–S58.

  2. Tran, J. M. Q. D., Hodgkiss, W. S. Matched-field processing of 200-Hz continuous wave (cw) signals [J]. The Journal of the Acoustical Society of America, 1991, 89(2): 745–755.

  3. Li, H., Xu, Z., Yang, K., et al. Use of multipath time-delay ratio for source depth estimation with a vertical line array in deep water [J]. The Journal of the Acoustical Society of America, 2021, 149(1): 524–539.

  4. Krolik, J. L. Matched-field minimum variance beamforming in a random ocean channel [J]. The Journal of the Acoustical Society of America, 1992, 92(3): 1408–1419.

  5. Richardson, A. M. A posteriori probability source localization in an uncertain sound speed, deep ocean environment [J]. The Journal of the Acoustical Society of America, 1999, 89(5): 2280–2284.

  6. Jensen, F. B.; Kuperman, W. A.; Porter, M. B.; Schmidt, H. Computational Ocean Acoustics; Springer: 2011.

  7. Yang, C. D. R. Error analysis on bearing estimation of a towed array to a far-field source in deep water [J]. Acoustics Australia, 2016, 44(3).